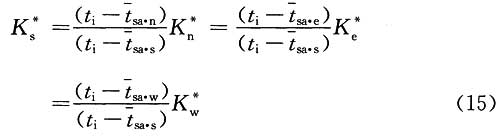
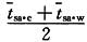
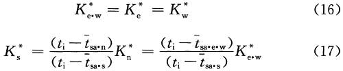
C.4 非平衡保温 C.4.1 非平衡保温是根据不同朝向外墙和屋面单位面积净失热量相等原理,进行围护结构热工设计的方法。现行相关标准规定了不同地区采暖建筑围护结构传热系数的限值,但由于传热系数限值的确定是基于室内外空气温差,所以建筑围护结构的传热系数限值没有朝向的区分。以外墙为例,不同朝向外墙以相同的传热系数进行构造设计,虽然能够简化构造设计难度,但对于太阳能资源丰富的地区,这种方法不利于实现节能墙体构造的优化。 非平衡保温是指太阳辐射热作用较大的地区,因太阳热作用随采暖建筑围护结构朝向不同而差异明显,为使不同朝向外墙及屋面传热失热热流密度相等,而对不同朝向外墙及屋面采用了不同的传热系数。 非平衡保温设计的基本原理如公式(14)~公式(17)所示: 式中:q——不同朝向外墙与屋面的单位面积传热失热量(W/m2)。 由于tsa·e和tsa·w相差较小,所以为简化设计与墙体建造,两者取相同的值,即取两者的平均值:tsa·e·w(注:tsa·o·w=)。 按上式计算可得出不同朝向外墙和屋面非平衡传热系数相关性。 太阳能资源丰富地区建筑的节能墙体采用非平衡保温设计方法,有利于降低围护结构内壁面不对称辐射对室内热舒适的影响。 由于本规范并非是节能标准,因此其实质是对建筑热工性能的最基本的要求,因此对于“不同朝向保温”问题,本规范侧重于提供不同朝向保温的热工设计方法。